2018년 공무원 봉급 인상률은 2.6%이었습니다.
게다가 군인 월급 88%인상이었죠. 물론 이 인상률은 일반 병사 봉급의 인상률입니다.
군인이 직업인 직업군인 월급은 공무원과 똑같이 인상됩니다.
하지만 2019년 공무원 봉급 인상률은 1.8%에 그쳤습니다.
병사 급여는 동결되었구요.
2020년 군인 월급은 다음과 같습니다.

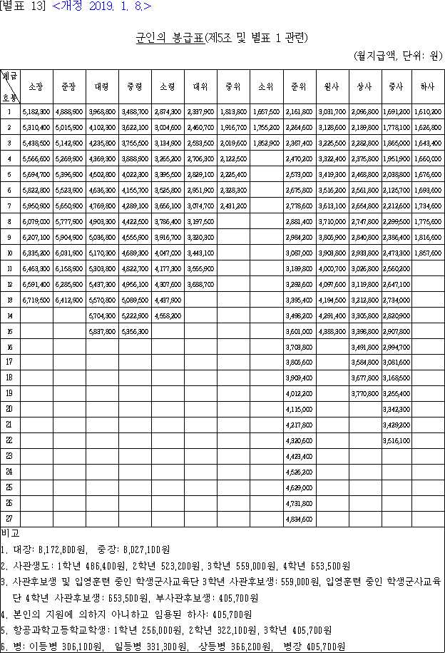
2019년 군인 봉급표는 다음과 같습니다.

아래는 2018 군인 봉급표

2018 직업 군인 월급: 2.6% 인상된 2018년 군인 월급입니다.
군대 월급 체계는 일반 공무원과는 달리 부사관은 하사부터 원사까지,
그리고 준사관인 준위, 그리고 사관인 장교 월급이 한 표에 들어 있어요.
하사와 소위도 엄연히 직업군인인데, 다른 공무원의 말단 공무원인 9급공무원의 급여보다 현격히 적었었습니다.
2017년 군인 봉급표를 참고해보시면 2017년의 하사와 소위 월급은 엄청나게 적은 금액이었고 최저임금에 훨씬 못미쳐보였습니다.
그런데 2018년에는 엄청나게 인상된 것처럼 보입니다만...
사실은 위에 지적한 것처럼 소위와 하사월급이 최저임금에 훨씬 못미쳐보이는 문제 때문에 통상 지급되던 수당을 기본급에 통합해버렸습니다.
2018년에는 직업 군인 월급에서만 그렇게 적용되었습니다.
다른 직렬 공무원은 2019년부터 그렇게 되지 않을까 예상됩니다.
사병월급은 88% 인상했다면, 초급 간부들의 급여도 일률적인 인상이 아닌 차등 인상이 이뤄 졌어야 하지 않나 생각합니다.
2018년 군대월급은 의 표에 표기된 병월급을 참고하세요.
이병월급이 30만원, 상병월급이 36만원이나 됩니다.

2016년에 히트했던 수목드라마 태양의후예에 보면 국가대테러특공대 특전사들이 나왔죠?
태양의후예 유시진 대위 역을 맡은 송중기가...
너무 멋져서...몰입을 방해하하기도 했습니다만…
짐승냄새 물씬 풍기는 대한민국 특전사들의 모습을 보여주었죠.

물론 드라마니까...
게다가 밀리터리 전문가도 아닌 로코 전문인 김은숙 작가의 드라마니까...
고증 따위는 안드로메다로…

아무튼 병원 옥상에서 헬기 타고 아프간으로 날아가는 태양의 후예 알파팀은 707 특임대가 모델이었다고 해요.
그런 엘리트급의 특전사들은 월급을 얼마를 받을까요?
태양의 후예 송중기 월급은?
물론 송중기의 출연료는 회당 6천만원 선이라고 합니다만,
극중 육군 특전사 대위의 월급은 얼마일까요?
그냥 아까 보여드린 표에서 대위 월급입니다.
물론 복무기간에 따라 호봉에 따라 월급이 달라집니다만…ㅋ.
특전사라고 해서 전혀 월급이 달라지진 않아요.
대신 수당이 붙죠.
정말 소소한 위험수당 (몇만원 수준).
그리고 낙하산 타고 뛰면 받게 되는 강하수당.
정도가 다른 공무원이나 군인과 조금 달리 받을 뿐,
나머지는 동일합니다.
파병수당과 위험수당 관련글은 다음의 링크를 참고하세요.
태양의후예 특전사 알파팀 707 특임대 부사관 장교 봉급표, 징계 3개월 감봉 그리고 태백부대 파병수당. 태양의 후예 결말 몇부작
태양의 후예 특전사 서대영 상사월급은 얼마를 받을 까요?

극중 서대영 상사의 나이는 35살.
20살에 입대했다고 가정하고, 2번의 진급이 있었으니, 상사 13호봉 정도 될 것 같군요.
상사 13호봉의 월급인 314만원을 기본급으로 받게 되겠네요.
군인 간부 월급은 기본급만큼은 군종과 관계없이 동일합니다.
공군 중사 월급이나 육군중사 월급이나 동일합니다.
다만 위에 언급한바와 마찬가지로 위험수당이 붙느냐 붙지 않느냐에 따라 엄청난 차이가 나게 됩니다.
'공무원 > 공무원 봉급표' 카테고리의 다른 글
| 2019년 군인 봉급표 2018 장교 직업군인 월급 (0) | 2019.07.25 |
|---|---|
| 국가공무원 국정원 5급공무원 연봉 사무관 급여표 (0) | 2018.08.30 |
| 인사혁신처 2019 공무원 봉급표 2019년도 최저임금 (0) | 2018.07.17 |
| 2018 경찰공무원 봉급표, 군인 월급 교사 호봉표 & 2019년 최저임금은 얼마? (0) | 2018.06.21 |
목차
댓글